ТВК оприлюднила дані, якою була активність виборців на Тернопільщині: дані з округів
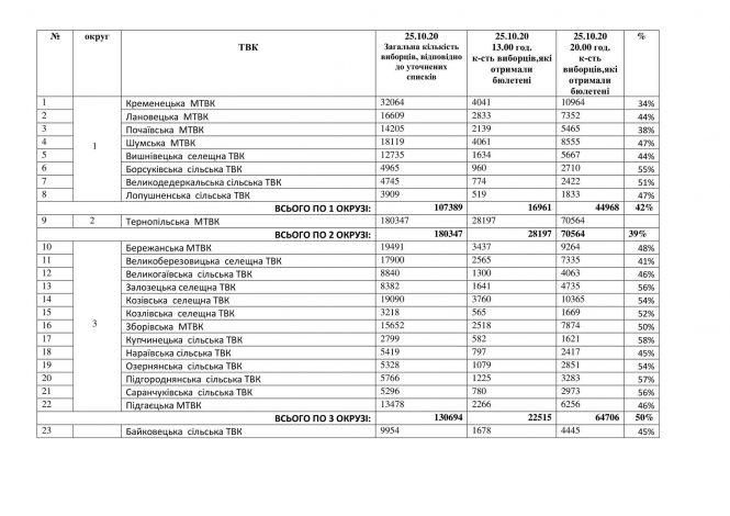
Тернопільська обласна територіальна виборча комісія повідомила, якою була явка виборців станом на 20.00 25 жовтня 2020 року.
Станом на 20:00 на Тернопільщині проголосували 356964 виборці, що становить 45% від усієї їх кількості.






Стежте за новинами Тернополя у Telegram.