Апарт-готель в центрі Тернополя: ми дізналися більше про будівництво в історичній частині міста
-
У грудні 2021 року на вулиці академіка Брюкнера, 3 розпочали будівельні роботи і раптово працівники виявили залишки фундаменту старого будинку, що колись тут був.
-
На цій ділянці, як ми з'ясували, має з'явитися апарт-готель. Що відомо про замовника будівництва? Чи можуть тут взагалі проводити будь-які роботи?
-
Ми дізналися для вас.
Нагадаємо, 30 грудня під час будівельних робіт для заливки нового фундаменту на вулиці академіка Брюкнера, 3 будівельники виявили фундамент старого будинку, що колись знаходився на цьому місці.
Тоді один з працівників розповів журналісту «20 хвилин», що старий будинок був в аварійному стані і частину його фундаменту засипали після зруйнування. На стіні прилеглої будівлі лишились сліди старого дому.
Читайте також, Не сподівалися таке побачити: на Брюкнера робітники відкопали цікаву знахідку. Що дізналися? (ФОТО)
На паспорті об’єкту, що будують, зазначають про будівництво чотириповерхового апарт-готелю з приміщеннями громадського призначення. Загальна площа готелю складе 496,5 метрів квадратних, а площа забудови – 113,5 метрів квадратних.

Що відомо про замовника та генпідрядника
Замовником будівництва вказана громадянка Прохоренкова Наталія Іванівна. Навіть є її номер телефону, але він, як ми перевірили, є недійсним. Тому, на жаль, поспілкуватися з нею ми не змогли.

Основною діяльністю ФОП Прохоренкової Н.І. є діяльність ресторанів та надання послуг мобільного харчування, зазначають на сайті Youcontrol. Що цікаво, у пані Прохоренкової за останніх вісім років є п’ять судових справ, у двох з них вона виступала боржником.

Скріншот з сайтуYoucontrol
Зокрема, у 2014 році виконавчий комітет Тернопільської міської ради звернувся до суду, звинуваючи підприємицю у несплаті пайового внеску на розвиток інженерно-транспортної та соціальної інфраструктури міста і вимагав стягнення в розмірі майже 35 тисяч гривень.
Востаннє пані Прохоренкова виступала в суді у ролі боржника за позовом від ДП «Газпостач» у 2021 році. Тоді суд зобов’язав її сплатити підприємству 22 329 гривень заборгованості за спожитий газ.
Також прізвище Наталії Прохоренкової в одному з договорів пайової участі 2013 року зазначене в одній строфі з підприємцем Ігорем Прохоренковим, його ім’я фігурує у будівельному скандалі щодо будівництва багатоповерхівки на провулку Цегельний, 1, що знаходиться на масиві «Дружба».

Скріншот переліку договорів пайової участі з сайту ТМР
За даними сайту Тернопільської міської ради, прізвища цих підприємців зазначаються у договорі пайової участі «Реконструкція приміщення під літ. «Ч» закладу громадського харчування» у Тернополі, за адресою провулок Цегельний, 1. Тією ж адресою, де будують скандальну багатоповерхівку.
Починаючи від 2015 року, прізвище Ігоря Прохоренкова фігурувало ще у шести судових справах. У двох з них чоловіка хотіли притягнути до адміністративної відповідальності за порушення правил карантину, а також – порушення порядку провадження господарської діяльності, йдеться на сайті Youcontrol.

Скріншот з сайту Youcontrol
Генпідрядником будівництва є Товариство з обмеженою відповідальністю «Будтехсервіс ЛТД». За даними сайту Youcontrol, її основним видом діяльності є будівництво житлових та нежитлових приміщень. Зареєстрована компанія у 2013 році в місті Львів. Головою та одним із засновників компанії є Андрій Іванович Войтко, він же є засновником ТОВ «ВІ ДІ ГРУП», також зареєстрованої у Львові. Дана компанія «Будтехсервіс ЛТД» (скорочена назва «БТС») за останніх п’ять років виграла ряд тендерів на проведення будівельних робіт у Львівській області на загальну суму майже 5,7 мільйона гривень. У Тернопільській області участі в тендерах компанія не брала.

Скріншот з сайту clarity-project.info
В системі Youcontrol зазначають про виграні тендери на суму майже 4,5 мільйона гривень, починаючи з 2017 року.
Щодо самого будівництва у центрі Тернополя, то за даними порталу Єдиної державної системи у сфері будівництва, експертизу проєкт апарт-готелю пройшов ще у серпні 2019 року. Тоді ж замовниця уклала договір з компанією «Будтехсервіс ЛТД».
Що цікаво, дане будівництво належить до класу наслідків «СС3», який охоплює житлові комплекси багатоповерхових будинків, комплекси з торговими та громадськими центрами. Це найвищий клас наслідків з трьох можливих, за яким оцінюють рівень потенційної небезпеки для життя та здоров’я людей, які можуть постійно або періодично перебувати в будівлі. У такому випадку вихід об'єкта з ладу може нести небезпеку для понад 400 людей.
Однак, для присвоєння такого класу наслідків поверховість будівлі повинна бути не менше п’яти. А в нашому випадку, у паспорті, є лише чотири. Чи ще потім добудуть?
Що кажуть у міськраді
31 січня ми надіслали інформацій запит у Тернопільську міську раду з проханням надати детальну відповідь щодо законності забудови даної земельної ділянки на історичній частині міста, а також щодо відповідності документації по даній забудові.
Як зазначили у відповіді, у 2018 році пані Прохоренкова орендувала земельну ділянку під будівництво та обслуговування будівель торгівлі, кафе та офісних приміщень. Термін оренди минає у 2024 році.
Дозвіл на будівництво апарт-готелю є зареєстрований та міститься на порталі Єдиної державної електронної системи у сфері будівництва. Щодо самих дозвільних документів, у міськраді послалися на те, що розпорядником щодо даної інформації є Державна інспекція архітектури та містобудування України, однак відомості, занесені до електронної системи є достовірними.

До слова, станом на 14 лютого на місці будівництва вже почали зводити стіни першого поверху майбутнього апарт-готелю.
Чи дозволене будівництво в історичній частині міста
Вулиця Брюкнера, як і суміжні вулиці Сагайдачного, Йосипа Сліпого, Валова належать до історичного центру міста Тернопіль, це підтверджує місцевий історик Володимир Окаринський.
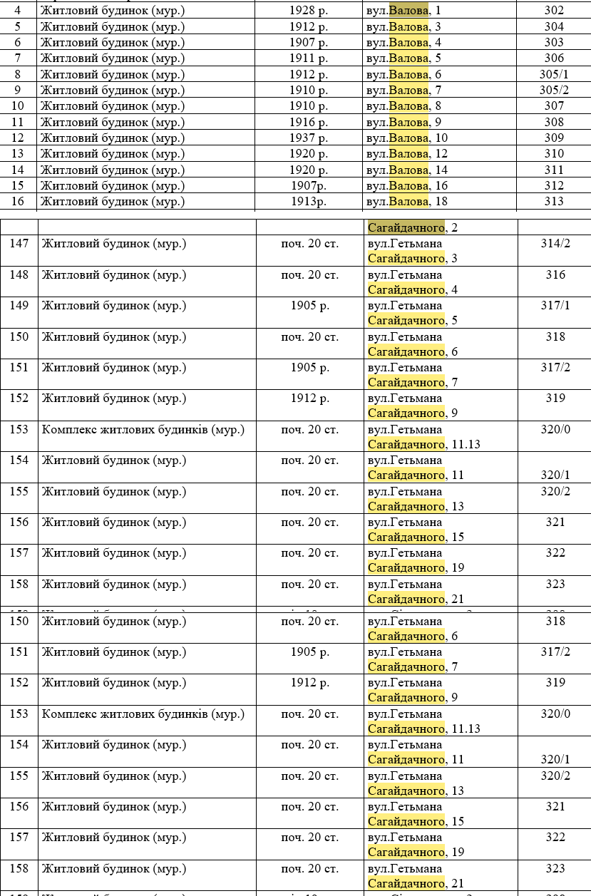
Крім того, десятки будинків на цих вулицях належать до пам’яток місцевої архітектури Тернополя, адже збудовані у 19-му та на початку 20-го століть.

Перелік пам'яток архітектури місцевого значення у місті Тернопіль на вулицях Валова та Сагайдачного
Зокрема, і будинки за адресою вулиця Сагайдачного, 13 та Валова, 16, розташовані за кілька десятків метрів від місця будівництва. Чи не йде це всупереч Державним будівельним нормам? Пояснив архітектор Василь Будзик.

Локація будівництва апарт-готелю
– Якщо поблизу знаходиться пам’ятка місцевої архітектури, це не означає, що біля неї не можна нічого будувати. Якщо згідно з історико-архітектурним планом на тому місці колись була будівля, то чому б і ні? – відповів архітектор. – Якщо все відповідає Державним будівельним нормам, у тому числі питанню щодо забудови історичного центру, тут можна будувати.
Як ми переконалися, за адресою Валова, 3 будівля не входить до пам’яток архітектури
А з'явиться тут готель чи щось інше на чотири чи більше поверхів, побачимо.
А як гадаєте ви, чи потрібно будувати такі будівлі в історичній частині міста?
Залишайте свої думки щодо будівництва у центральній частині міста в коментарях.
Стежте за новинами Тернополя у Telegram.
Нехай собі будують, готелів буде більше для тернополя